CONCEPTUALIZACIÓN
Un trinomio cuadrado perfecto es un trinomio que resulta de la multiplicación de un binomio por sí mismo o elevado al cuadrado. Por ejemplo, (x + 3)2 = (x + 3) (x + 3) = x2 + 6x + 9.
Es un caso de factorización el cual cumple con las siguientes características:
​



Si se cumple con las características mencionadas anteriormente, procedemos a factorizar:
​
Para factorizar trinomios cuadrados perfectos después de haber verificado las condiciones anteriores, lo que se debe hacer es organizar un binomio cuadrado de la siguiente forma:
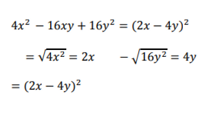
Abrimos paréntesis y colocamos la raíz del primer término, luego el signo del segundo término seguido de la raíz del tercer término, cerramos el paréntesis y lo elevamos al cuadrado.


Ejemplos:



referencia: Stewart J, Rendlin L, Watson S(2012) , Precálculo. Matemática para el cálculo .Sexta edición.
